[Découverte] Publication dans Science : une étude en physique quantique confirme la validité de l’hydrodynamique généralisée pour des atomes en interaction forte

 
Publié le 20/10/2021

Une expérience de physique quantique réalisée à l’Université de Penn State aux États-Unis, en collaboration avec des physiciens théoriciens du LPCT, Laboratoire de Physique et Chimie Théorique (Université de Lorraine-CNRS), vient de confirmer la validité de l’ ”hydrodynamique généralisée”, une théorie apparue en 2016 qui promet de grande avancées dans le domaine de la dynamique des systèmes quantiques à N corps. Les résultats de cette étude sont parus le 1er septembre dans la revue Science.

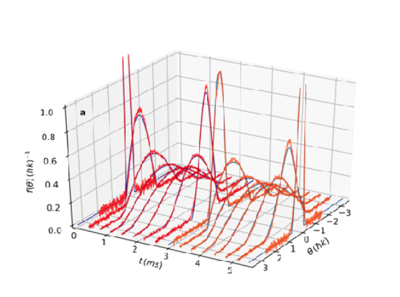
Dans cette expérience, des atomes sont refroidis à des températures extrêmement basses, et ils sont piégés dans un réseau de tubes unidimensionnels parallèles les uns aux autres. Chaque tube est isolé des autres, et contient quelques dizaines d’atomes. Les atomes piégés dans chaque tube peuvent se mouvoir le long du tube et entrer en collision les uns avec les autres. Ces atomes forment un gaz, de la même façon que les molécules d’oxygène ou d’azote forment l’air qui nous entoure. Mais à la différence des molécules dans l’air ambiant, le mouvement des atomes est purement unidimensionnel, à la manière de billes qui rouleraient dans une gouttière. En outre, les atomes obéissent aux lois de la physique quantique, contrairement aux gaz habituels dont les constituants se meuvent selon les lois de la mécanique de Newton.

Qu’est-ce que l’hydrodynamique généralisée ? 

L’idée de l’hydrodynamique généralisée est d’oublier la description précise de l’état de tous les atomes, et de décrire le gaz comme un milieu continu. Évidemment, cette idée n’est pas nouvelle : c’est exactement ce que l’on fait quand on voit l’eau liquide comme un milieu continu, en oubliant qu’elle est constituée de molécules au mouvement très complexe. Mais la nature quantique des atomes, et le fait que leur mouvement est très contraint, fait que l’hydrodynamique habituelle qui décrit le mouvement de l’eau est incapable de décrire celui des atomes dans les tubes unidimensionnels. L’hydrodynamique généralisée, apparue en 2016 grâce à un tour de force mathématique, résout le problème et permet de décrire ces gaz quantiques.
 

Une grande avancée : un résultat pour des atomes en interaction forte

Un premier test des prédictions de l’hydrodynamique généralisée a été réalisé en 2019 au Laboratoire Charles Fabry de l’Institut d’Optique à Palaiseau, par l’équipe menée par Isabelle Bouchoule, en collaboration avec Jérôme Dubail du LPCT (CNRS-Université de Lorraine). Les résultats obtenus ont établi la validité de la théorie pour des gaz quantiques où les interactions entre atomes sont assez faibles. Dans l’expérience de Palaiseau, le piégeage des atomes est réalisé avec une puce électronique, une technologie différente des lasers de l’expérience de Penn State, et avec laquelle il n’est pas possible d’atteindre le régime de fort couplage entre les atomes.
La validité de l’hydrodynamique généralisée restait donc à établir pour des atomes en interaction forte. C’est ce qu’ont réussi à faire les physiciens de Penn State, menés par David Weiss et Marcos Rigol, en collaboration avec Jérôme Dubail. Ces résultats ouvrent la voie à des développements dans le domaine de la dynamique des systèmes à N corps quantiques.
 
Cette étude permet d'établir cette théorie comme un outil standard pour la modélisation des systèmes d'atomes froids et va contribuer au développement des systèmes quantiques.
 
Référence de l'article sur Science : https://www.science.org/doi/10.1126/science.abf0147